CURVA CARACTERÍSTICA DE RETENÇÃO DE ÁGUA NO SOLO
Voltar

 
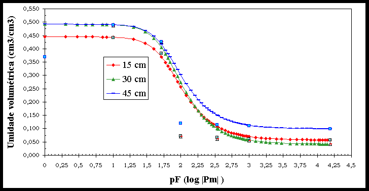
0-15 cm
15-30 cm
30-45 cm
Ym
log |Ym|
Umidade estimada*
Umidade original **
Umidade estimada*
Umidade original **
Umidade estimada*
Umidade original **
cca
-
cm3/cm3
cm3/cm3
cm3/cm3
cm3/cm3
cm3/cm3
cm3/cm3
0
0
0,445
-
0,492
-
0,492
-
10
1,0000
0,4433
0,4422
0,4901
0,4866
0,4903
0,4899
52
1,7160
0,3699
0,3820
0,4049
0,4265
0,4160
0,4256
100
2,0000
0,2572
0,0715
0,2742
0,0700
0,3018
0,1197
340
2,5315
0,1072
0,0660
0,1002
0,0602
0,1498
0,1138
1000
3,0000
0,0701
0,0618
0,0572
0,0545
0,1123
0,1106
15495
4,1902
0,0574
0,0573
0,0425
0,0427
0,0994
0,0986
* Umidade obtida a partir do modelo de GENUCHTEN (1980).
** Umidade obtida a partir da curva característica obtida em Laboratório em Membrana Extratora de Richards.

 
 

 
Coeficientes de modelo de GENUCHTEN (1980) obtidos pelo software SWRC.

 
0-15 cm
15-30 cm
30-45 cm
Unidade
alfa =
0,015
0,015
0,015
1/cm
m =
0,5
0,5
0,5
 
n = 
2,5
2,5
2,5
 
Umidade Residual =
0,057
0,042
0,099
cm3/cm3
Umidade de Saturação = 
0,445
0,492
0,492
cm3/cm3
Coeficiente de Ajuste =
0,999
0,998
0,998
 

 
 
Site da HidráulicaSite da FaculdadeSite da Agronomia